Utorok17. február 2026, meniny má Miloslava, zajtra Jaromír, Jaromíra

ÚVZ SR nariadil ĎALŠIE stiahnutie výrobkov Nestlé z trhu! Obsahujú nebezpečný TOXÍN, veľká TABUĽKA šarží

Ilustračné foto Zobraziť galériu (2)
Ilustračné foto (Zdroj: Getty Images)

BRATISLAVA - Úrad verejného zdravotníctva SR varuje pred ďalšou dojčenskou výživou Beba od značky Nestlé a nariadil jej stiahnutie z trhu. Dôvodom je prítomnosť nebezpečného toxínu cereulide.

Úrad verejného zdravotníctva SR informuje, že dostal cez systém rýchleho varovania pre potraviny a krmivá RASFF doplnenie Nemecka k varovnému oznámeniu Rakúska o prírodnom toxíne cereulide v počiatočnej dojčenskej výžive z Nemecka. Podľa varovného oznámenia RASFF ide o výrobky značky Nestlé, pôvodom z Nemecka. Výrobcom je Nestlé Nutrition GmbH, Nestlé Deutschland. Z vyššie uvedeného dôvodu na základe vykonaných laboratórnych analýz, ktorými bol zistený toxín cereulide, sa sťahujú z trhu:

  • BEBA supreme PRE, 800 g, číslo výrobnej dávky L51460742F1, DMT 05.2027, EAN kód 7613287226631,
  • BEBA expert PRE, 550 g, číslo výrobnej dávky L51700742A1, DMT 12.2026, EAN kód 8445290917751,
  • BEBA Frühgeborenen Nahrung, číslo výrobnej dávky 53020742C1, DMT 29.10.2026.

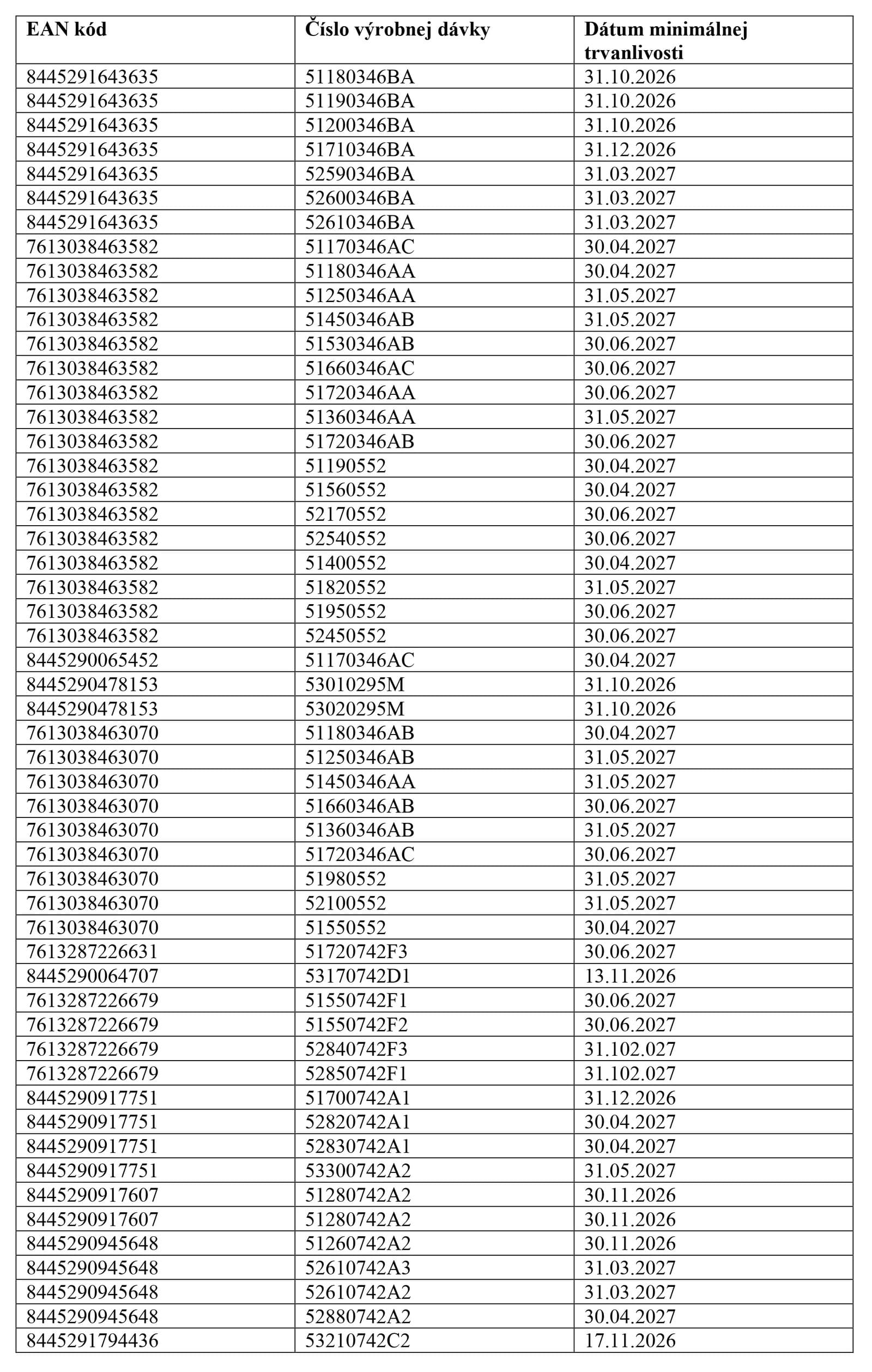
Podľa prílohy k RASFF oznámeniu sa preventívne sťahujú z trhu aj ďalšie výrobky značky Nestlé: BEBA pre, BEBA expert, BEBA comfort, BEBA supreme s uvedenými číslami výrobnej dávky, dátumu minimálnej trvanlivosti (DMT) a EAN kódmi:

ÚVZ SR nariadil ĎALŠIE
Zobraziť galériu (2)
 (Zdroj: ÚVZ SR)

ÚVZ SR zároveň na základe oznámenia RASFF uvádza, že nie všetky vyššie uvedené výrobky boli uvedené aj na trhu v Slovenskej republike. "Kontaminácia potraviny cereulidom (toxín produkovaný baktériou Bacillus cereus) môže spôsobiť najmä nechutenstvo, nauzeu, vracanie, malátnosť, ale nie je možné vylúčiť aj závažnejšie dopady na zdravie," upozorňuje.

Príslušné regionálne úrady verejného zdravotníctva overujú stiahnutie u obchodných partnerov Nestlé vo svojom regióne podľa distribučného zoznamu. ÚVZ SR dodáva, že zákazníci majú možnosť vrátiť potravinu u predajcu, kde ju zakúpili. "Úrad verejného zdravotníctva SR neodporúča ďalej používať uvedené šarže potravín na prípravu stravy pre dojčatá," dodáva na záver.

Viac o téme: NestléÚrad verejného zdravotníctva SRStiahnutie z trhuBEBACereulide
Nahlásiť chybu

Odporúčame

Predpredaj.sk - Tu sa rodia zážitky

Predpredaj.sk - Tu sa rodia zážitky

Stream naživo

Predpredaj.sk - Tu sa rodia zážitky

Celý program

Ďalšie zo Zoznamu